Lead 2 Hydroxide State Of Matter . this page looks at the formation of some insoluble lead(ii) compounds from aqueous lead(ii) ions using precipitation reactions. it describes the formation of lead (ii) hydroxide, lead (ii) chloride, lead (ii) iodide and lead (ii) sulfate. H 2 o 2 pb. a plasma is a gaseous state of matter that contains appreciable numbers of electrically charged particles (figure \(\pageindex{2}\)).
from exohqbjbg.blob.core.windows.net
a plasma is a gaseous state of matter that contains appreciable numbers of electrically charged particles (figure \(\pageindex{2}\)). this page looks at the formation of some insoluble lead(ii) compounds from aqueous lead(ii) ions using precipitation reactions. H 2 o 2 pb. it describes the formation of lead (ii) hydroxide, lead (ii) chloride, lead (ii) iodide and lead (ii) sulfate.
Lead Hydroxide State Of Matter at Lester Brand blog
Lead 2 Hydroxide State Of Matter H 2 o 2 pb. this page looks at the formation of some insoluble lead(ii) compounds from aqueous lead(ii) ions using precipitation reactions. it describes the formation of lead (ii) hydroxide, lead (ii) chloride, lead (ii) iodide and lead (ii) sulfate. H 2 o 2 pb. a plasma is a gaseous state of matter that contains appreciable numbers of electrically charged particles (figure \(\pageindex{2}\)).
From www.scielo.br
SciELO Brasil Synthesis and Characterization of Zinc Oxide Obtained Lead 2 Hydroxide State Of Matter this page looks at the formation of some insoluble lead(ii) compounds from aqueous lead(ii) ions using precipitation reactions. H 2 o 2 pb. a plasma is a gaseous state of matter that contains appreciable numbers of electrically charged particles (figure \(\pageindex{2}\)). it describes the formation of lead (ii) hydroxide, lead (ii) chloride, lead (ii) iodide and lead. Lead 2 Hydroxide State Of Matter.
From www.numerade.com
SOLVED 14.Write the equilibrium constant expression for the Lead 2 Hydroxide State Of Matter H 2 o 2 pb. a plasma is a gaseous state of matter that contains appreciable numbers of electrically charged particles (figure \(\pageindex{2}\)). it describes the formation of lead (ii) hydroxide, lead (ii) chloride, lead (ii) iodide and lead (ii) sulfate. this page looks at the formation of some insoluble lead(ii) compounds from aqueous lead(ii) ions using. Lead 2 Hydroxide State Of Matter.
From www.aakash.ac.in
What are the States of Matter? Lead 2 Hydroxide State Of Matter this page looks at the formation of some insoluble lead(ii) compounds from aqueous lead(ii) ions using precipitation reactions. H 2 o 2 pb. it describes the formation of lead (ii) hydroxide, lead (ii) chloride, lead (ii) iodide and lead (ii) sulfate. a plasma is a gaseous state of matter that contains appreciable numbers of electrically charged particles. Lead 2 Hydroxide State Of Matter.
From armsingle10.pythonanywhere.com
Wonderful Single Displacement Net Ionic Equation Gravitation Class 9 Lead 2 Hydroxide State Of Matter a plasma is a gaseous state of matter that contains appreciable numbers of electrically charged particles (figure \(\pageindex{2}\)). it describes the formation of lead (ii) hydroxide, lead (ii) chloride, lead (ii) iodide and lead (ii) sulfate. this page looks at the formation of some insoluble lead(ii) compounds from aqueous lead(ii) ions using precipitation reactions. H 2 o. Lead 2 Hydroxide State Of Matter.
From www.sciencephoto.com
Lead (II) Hydroxide Precipitate, 1 of 3 Stock Image C030/8102 Lead 2 Hydroxide State Of Matter H 2 o 2 pb. this page looks at the formation of some insoluble lead(ii) compounds from aqueous lead(ii) ions using precipitation reactions. it describes the formation of lead (ii) hydroxide, lead (ii) chloride, lead (ii) iodide and lead (ii) sulfate. a plasma is a gaseous state of matter that contains appreciable numbers of electrically charged particles. Lead 2 Hydroxide State Of Matter.
From www.bartleby.com
Answered When aqueous solutions of iron(II)… bartleby Lead 2 Hydroxide State Of Matter it describes the formation of lead (ii) hydroxide, lead (ii) chloride, lead (ii) iodide and lead (ii) sulfate. this page looks at the formation of some insoluble lead(ii) compounds from aqueous lead(ii) ions using precipitation reactions. H 2 o 2 pb. a plasma is a gaseous state of matter that contains appreciable numbers of electrically charged particles. Lead 2 Hydroxide State Of Matter.
From brainly.com
Which formula represents lead(II) hydroxide? Lead 2 Hydroxide State Of Matter H 2 o 2 pb. it describes the formation of lead (ii) hydroxide, lead (ii) chloride, lead (ii) iodide and lead (ii) sulfate. this page looks at the formation of some insoluble lead(ii) compounds from aqueous lead(ii) ions using precipitation reactions. a plasma is a gaseous state of matter that contains appreciable numbers of electrically charged particles. Lead 2 Hydroxide State Of Matter.
From exohqbjbg.blob.core.windows.net
Lead Hydroxide State Of Matter at Lester Brand blog Lead 2 Hydroxide State Of Matter a plasma is a gaseous state of matter that contains appreciable numbers of electrically charged particles (figure \(\pageindex{2}\)). this page looks at the formation of some insoluble lead(ii) compounds from aqueous lead(ii) ions using precipitation reactions. it describes the formation of lead (ii) hydroxide, lead (ii) chloride, lead (ii) iodide and lead (ii) sulfate. H 2 o. Lead 2 Hydroxide State Of Matter.
From exohqbjbg.blob.core.windows.net
Lead Hydroxide State Of Matter at Lester Brand blog Lead 2 Hydroxide State Of Matter a plasma is a gaseous state of matter that contains appreciable numbers of electrically charged particles (figure \(\pageindex{2}\)). H 2 o 2 pb. it describes the formation of lead (ii) hydroxide, lead (ii) chloride, lead (ii) iodide and lead (ii) sulfate. this page looks at the formation of some insoluble lead(ii) compounds from aqueous lead(ii) ions using. Lead 2 Hydroxide State Of Matter.
From owlcation.com
Iron (II) Hydroxide A Chemical Compound Causing Green Rust Owlcation Lead 2 Hydroxide State Of Matter this page looks at the formation of some insoluble lead(ii) compounds from aqueous lead(ii) ions using precipitation reactions. a plasma is a gaseous state of matter that contains appreciable numbers of electrically charged particles (figure \(\pageindex{2}\)). H 2 o 2 pb. it describes the formation of lead (ii) hydroxide, lead (ii) chloride, lead (ii) iodide and lead. Lead 2 Hydroxide State Of Matter.
From teachkidschemistry.com
States of Matter Teach Kids Chemistry Lead 2 Hydroxide State Of Matter this page looks at the formation of some insoluble lead(ii) compounds from aqueous lead(ii) ions using precipitation reactions. it describes the formation of lead (ii) hydroxide, lead (ii) chloride, lead (ii) iodide and lead (ii) sulfate. a plasma is a gaseous state of matter that contains appreciable numbers of electrically charged particles (figure \(\pageindex{2}\)). H 2 o. Lead 2 Hydroxide State Of Matter.
From www.youtube.com
Acid/Base Neutralization Reaction for NaOH + HCl (Sodium hydroxide Lead 2 Hydroxide State Of Matter it describes the formation of lead (ii) hydroxide, lead (ii) chloride, lead (ii) iodide and lead (ii) sulfate. this page looks at the formation of some insoluble lead(ii) compounds from aqueous lead(ii) ions using precipitation reactions. H 2 o 2 pb. a plasma is a gaseous state of matter that contains appreciable numbers of electrically charged particles. Lead 2 Hydroxide State Of Matter.
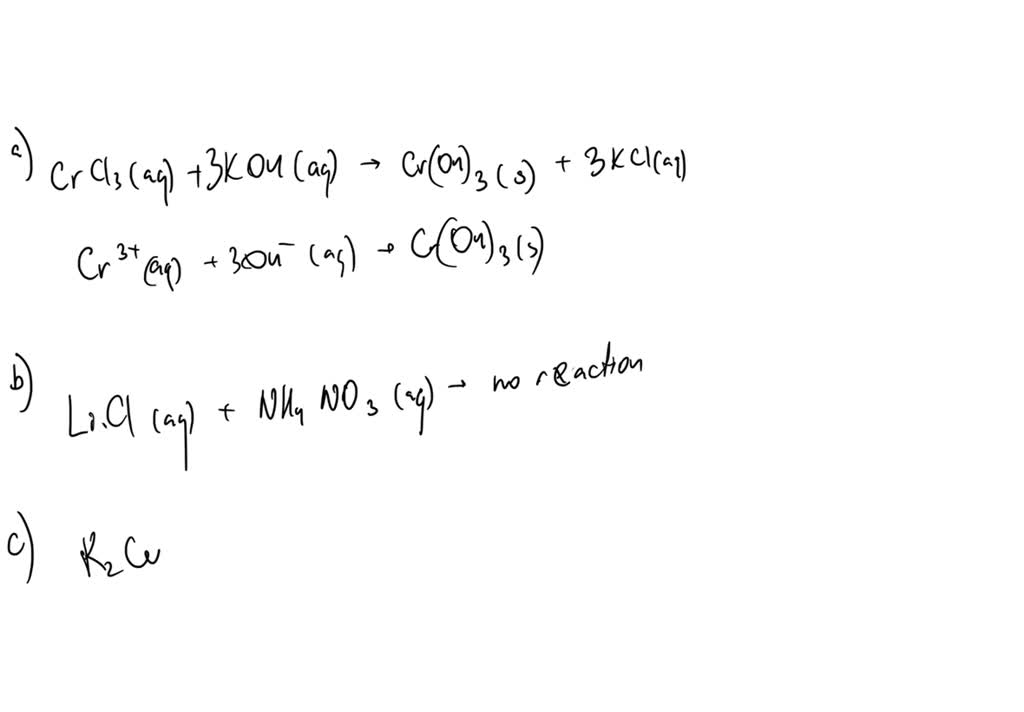
From www.numerade.com
SOLVED For each of the following reactions, write a balanced equation Lead 2 Hydroxide State Of Matter H 2 o 2 pb. this page looks at the formation of some insoluble lead(ii) compounds from aqueous lead(ii) ions using precipitation reactions. a plasma is a gaseous state of matter that contains appreciable numbers of electrically charged particles (figure \(\pageindex{2}\)). it describes the formation of lead (ii) hydroxide, lead (ii) chloride, lead (ii) iodide and lead. Lead 2 Hydroxide State Of Matter.
From www.sciencephoto.com
Lead (II) hydroxide precipitate, 3 of 3 Stock Image C036/3123 Lead 2 Hydroxide State Of Matter H 2 o 2 pb. a plasma is a gaseous state of matter that contains appreciable numbers of electrically charged particles (figure \(\pageindex{2}\)). it describes the formation of lead (ii) hydroxide, lead (ii) chloride, lead (ii) iodide and lead (ii) sulfate. this page looks at the formation of some insoluble lead(ii) compounds from aqueous lead(ii) ions using. Lead 2 Hydroxide State Of Matter.
From exohqbjbg.blob.core.windows.net
Lead Hydroxide State Of Matter at Lester Brand blog Lead 2 Hydroxide State Of Matter H 2 o 2 pb. this page looks at the formation of some insoluble lead(ii) compounds from aqueous lead(ii) ions using precipitation reactions. a plasma is a gaseous state of matter that contains appreciable numbers of electrically charged particles (figure \(\pageindex{2}\)). it describes the formation of lead (ii) hydroxide, lead (ii) chloride, lead (ii) iodide and lead. Lead 2 Hydroxide State Of Matter.
From www.youtube.com
How to Write the Net Ionic Equation for HBr + Ca(OH)2 = CaBr2 + H2O Lead 2 Hydroxide State Of Matter it describes the formation of lead (ii) hydroxide, lead (ii) chloride, lead (ii) iodide and lead (ii) sulfate. this page looks at the formation of some insoluble lead(ii) compounds from aqueous lead(ii) ions using precipitation reactions. H 2 o 2 pb. a plasma is a gaseous state of matter that contains appreciable numbers of electrically charged particles. Lead 2 Hydroxide State Of Matter.
From studychronicled.z21.web.core.windows.net
Net Ionic Equation For Hcl And Naoh Lead 2 Hydroxide State Of Matter a plasma is a gaseous state of matter that contains appreciable numbers of electrically charged particles (figure \(\pageindex{2}\)). H 2 o 2 pb. this page looks at the formation of some insoluble lead(ii) compounds from aqueous lead(ii) ions using precipitation reactions. it describes the formation of lead (ii) hydroxide, lead (ii) chloride, lead (ii) iodide and lead. Lead 2 Hydroxide State Of Matter.
From exohqbjbg.blob.core.windows.net
Lead Hydroxide State Of Matter at Lester Brand blog Lead 2 Hydroxide State Of Matter H 2 o 2 pb. a plasma is a gaseous state of matter that contains appreciable numbers of electrically charged particles (figure \(\pageindex{2}\)). it describes the formation of lead (ii) hydroxide, lead (ii) chloride, lead (ii) iodide and lead (ii) sulfate. this page looks at the formation of some insoluble lead(ii) compounds from aqueous lead(ii) ions using. Lead 2 Hydroxide State Of Matter.